やくー

薬学部6回生によるブログです。

Wolff Kishner還元の反応機構!イミン生成との違い!直鎖をもつベンゼンの作り方

f:id:yakuuu:20210808234657j:plain

Wolff Kishner還元はブルースにも載っているのですが、反応機構が省略されている部分があるので、そこをお伝えできたらと思います。

  • 反応機構
  • 途中の生成物であるイミンで反応を止めること
  • Wolff Kishner還元の目的
  • 他の反応が使えない理由

をお伝えします。

 

 

Wolff-Kishner還元の反応機構と加熱する理由

 
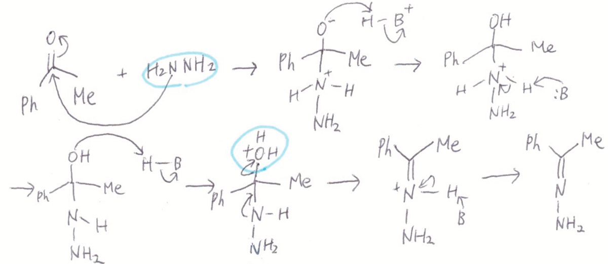
Wolff Kishner還元は、カルボニル基をメチレン基に還元することができます。
省略しないで書くと反応機構はこのようになります。

f:id:yakuuu:20210808234724p:plain
shop.jk-sci.comこちらを参考にしました。

Nに付いているプロトンは弱い酸なので、水酸化物イオンプロトンを引き抜くのに加熱が必要です。


イミンを生成するには?pHがポイントです

 

pHを調節し加熱をしないことで、←ここがWolff Kishner還元との違いです。
2段目の2つ目までの反応で止める(イミンを生成する)ことができます。
(一般的にはH₂NNH₂(ヒドラジン)の部分を、RNH₂で表します)

f:id:yakuuu:20210812102600p:plain

H₂NNH₂ができるだけプロトン化してないこと、
かつ、
HO⁻でなくH₂Oが脱離基となるよう十分な酸が存在していること

この2つを同時に満たすpHにしなければなりません。



酸性溶液中ではイミンを生成できない理由

 

できたイミンにH₂Oを加えHClで酸性にすることで、カルボニル化合物に戻すことを考えましょう。
酸性溶液中ではH₂NN⁺H₃が生成するので、イミンを生成することはできません。

f:id:yakuuu:20210812103457p:plain


 

Friedel-Craftsアルキル化反応では生成できない理由

 

Wolff Kishner還元は、直鎖のアルキル基をもつアルキルベンゼンをつくるために使われます。詳しくは次の章です。

ここで、おさえておきたいことは、
Friedel-Craftsアルキル化反応では「直鎖の」アルキル基をもつアルキルベンゼンは生成できないということです。

なぜでしょう。

説明するためにFriedel-Craftsアルキル化反応の例を書きました。

f:id:yakuuu:20210811224530j:plain


このように
Friedel-Craftsアルキル化反応はカルボカチオン(この場合CH₃CHC⁺H₂)を作ることから始まりますが、
CH₃CHC⁺H₂は第1級カルボカチオンなので、不安定で、実際は存在できません。
そのため、より安定な第2級カルボカチオンになるよう、下のように転移が起きます。


f:id:yakuuu:20210811224915j:plain



(ただし、上は分かりやすい書き方をしているだけで、実際の転移は下のように、Lewis酸(AlCl₃)との錯体の形で行われます)
f:id:yakuuu:20210811224837j:plain



以上により、第2級カルボカチオンができるので、その後ベンゼンと反応すると、「直鎖」のアルキル基をもつアルキルベンゼンではなく、分岐したアルキル基となってしまうわけです。

f:id:yakuuu:20210811225353j:plain


f:id:yakuuu:20210411174439p:plain
Friedel-Craftsアルキル化反応では「直鎖の」アルキル基をもつアルキルベンゼンは生成できない理由は、
「転移し第2級カルボカチオンができるから」です。


直鎖のアルキル基をもつアルキルベンゼンをつくるには?

 

では、どうやって「直鎖の」アルキル基をもつアルキルベンゼンを生成するのか。

Friedel-Craftsアシル化とその後にWolff-Kishner還元をすることによって生成します。

f:id:yakuuu:20210811230913j:plain

このようにWolff-Kishner還元を使うことによって「直鎖の」アルキル基をもつアルキルベンゼンを生成します。

補足
Wolff-Kishner還元の利点について補足します。
Wolff-Kishner還元でなくても、Clemmensen還元(Zn(Hg),HCl,△)や、H₂+Pd/Cで可能です。
しかし、H₂+Pd/Cは、ニトロ基をNO₂からNH₂に還元してしまうので、それをしないことがWolff-Kishner還元の利点となっています。

 

また、直鎖のアルキル基をもつアルキルベンゼンは、Suzuki反応や有機銅アート反応剤との反応ででも生成できます。




最後まで読んでいただきありがとうございました。